Groszek premium: Jak kupić idealny opał i uniknąć błędów?
Kupujesz groszek premium (ekogroszek)? Odkryj, jak wybrać najlepszy opał, poznać parametry jakościowe i uniknąć błędów. Sprawdź nasz poradnik!
Kupujesz groszek premium (ekogroszek)? Odkryj, jak wybrać najlepszy opał, poznać parametry jakościowe i uniknąć błędów. Sprawdź nasz poradnik!
Sprawdź, od kiedy można składać wnioski o dopłaty do kotłów na pellet w 2026 r. Dowiedz się, jakie programy wsparcia i ulgi są dostępne.
Brykiet czy węgiel? Porównaj kaloryczność, cenę, wygodę i wpływ na środowisko. Sprawdź, które paliwo lepiej ogrzeje Twój dom i portfel.
Chcesz kupić ekogroszek przez internet? Sprawdź nasz przewodnik! Odkryj sprawdzonych dostawców, kluczowe parametry i uniknij błędów. Kupuj bezpiecznie i oszczędnie!
Karlik czy Pieklorz? Porównaj parametry, wydajność i ceny ekogroszków PGG. Dowiedz się, który wybrać do swojego kotła i oszczędzaj na ogrzewaniu!
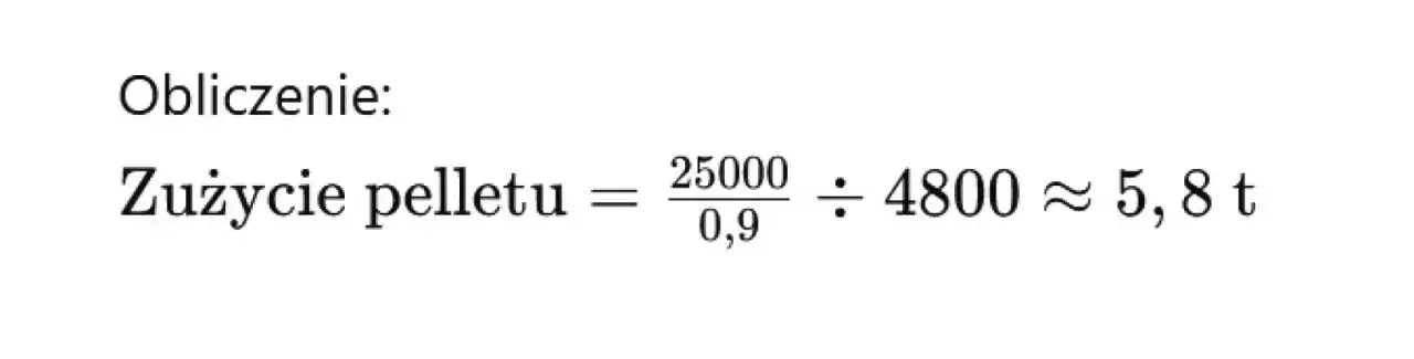
Oszacuj zużycie pelletu na dom 100m2. Poznaj kluczowe czynniki, koszty i sprawdzone sposoby na oszczędności. Sprawdź nasz poradnik!
Kupujesz ekogroszek w Czechach? Sprawdź nasz przewodnik! Poznaj ceny, jakość, transport i formalności. Oszczędzaj na ogrzewaniu!
Jak ustawić piec na ekogroszek? Poznaj kluczowe parametry, by palić efektywnie, oszczędnie i bez spieków. Sprawdź nasz praktyczny przewodnik!
Sprawdź ceny ekogroszku PGG na 2026! Poznaj aktualny cennik, koszty dostawy, promocje i praktyczne porady dotyczące zakupu.
Import pelletu z Ukrainy? Sprawdź nasz poradnik krok po kroku: procedury, dokumenty, opłacalność i ryzyka. Dowiedz się, czy warto!
Brykiet czy węgiel? Porównaj ceny, kaloryczność, wpływ na środowisko i koszty. Odkryj, które paliwo wybrać na sezon grzewczy.
Ceny ekogroszku w 2026: Sprawdź prognozy i dowiedz się, czy warto kupować teraz. Analiza kluczowych czynników i alternatyw.
Szukasz najlepszego groszku opałowego? Poznaj kluczowe parametry, nowe normy i jak wybrać paliwo, by ogrzewanie było tanie i bezproblemowe. Sprawdź nasz poradnik!
Dowiedz się, skąd pochodzi ekogroszek Sztygar: Kolumbia czy Kazachstan? Poznaj proces polskiego uszlachetniania i parametry.
Ekogroszek czy groszek? Porównaj parametry, ceny i wybierz paliwo idealne dla Twojego kotła. Dowiedz się, czym palić legalnie i efektywnie!